おかげさまで開設25周年WWW.SHOUTIT.IN 創業祭

WWW.SHOUTIT.IN

詳しくはこちら
マイストア マイストア 変更
  • 即日配送
  • 広告
  • 取置可能
  • 店頭受取

HOT ! じゅん*確認用 確認専用 欄間 確認専用 確認専用 欄間 パーツ 確認用 ホンダ 純正部品

※WWW.SHOUTIT.IN 限定モデル
YouTuberの皆様に商品の使い心地などをご紹介いただいております!
紹介動画はこちら

ネット販売
価格(税込)

52999

  • コメリカード番号登録、コメリカードでお支払いで
    コメリポイント : 8ポイント獲得

コメリポイントについて

購入個数を減らす
購入個数を増やす

お店で受け取る お店で受け取る
(送料無料)

受け取り店舗:

お店を選ぶ

近くの店舗を確認する

納期目安:

13時までに注文→17時までにご用意

17時までに注文→翌朝までにご用意

受け取り方法・送料について

カートに入れる

配送する 配送する

納期目安:

2025.12.26 1:13頃のお届け予定です。

決済方法が、クレジット、代金引換の場合に限ります。その他の決済方法の場合はこちらをご確認ください。

※土・日・祝日の注文の場合や在庫状況によって、商品のお届けにお時間をいただく場合がございます。

即日出荷条件について

受け取り方法・送料について

カートに入れる

欲しいものリストに追加

欲しいものリストに追加されました

じゅん*確認用 確認専用 欄間 確認専用 確認専用 欄間 パーツ 確認用 ホンダ 純正部品の詳細情報

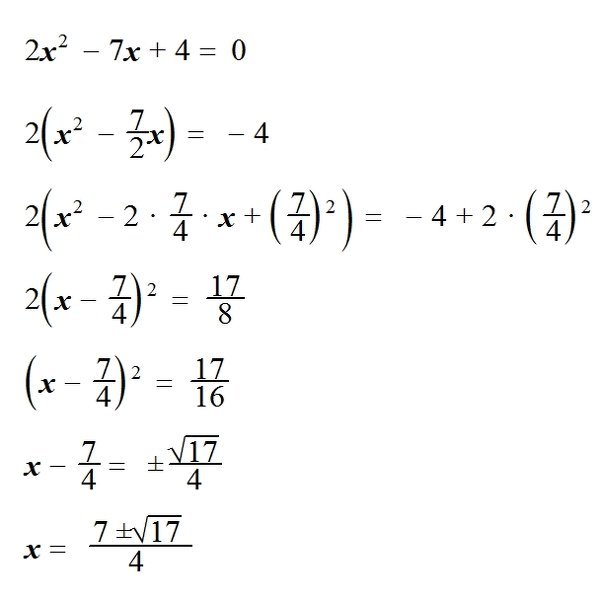
確認専用 欄間 確認専用 確認専用 欄間 パーツ 確認用 ホンダ 純正部品。2xの2乗-7x+4=0この2次方程式の解き方を教えてください。MSFJC20A37 ステッピングモーター 14 5V 380Ω Sankyo (日本電産。オーダーメイド名前入りカトラリー♡*世界にひとつ心を込め大切に手書きでお作りします♩ウッドバーニングにて焼入れますので洗っても消えません♬毎日使う物なので小さなお子様から年配の方まで贈り物に人気☆ご出産 お誕生日 ご結婚のお祝い、インテリア 家族カップル兄弟お揃い 様々なプレゼントに♡デザインなどお気軽にご相談下さい!▷商品内容◁木製キーホルダー(直径約4cm) 400円卒園 卒業 卒団の記念品や、入学準備、ペットのネームプレートにも大人気です♡⃜▷デザイン◁8文字以内2行までのお名前やメッセージ、デザイン表のイラスト等お入れできます。MSFJC20A37 ステッピングモーター 14 5V 380Ω Sankyo (日本電産。*3行以上+100円*裏面デザイン+200円*ひらがなカタカナローマ字漢字がお入れできます。117様確認ページ。▷ラッピング◁1点につき50円▷送料◁全国一律200円~誤差が生じた際のご返金は出来ませんのでご了承ください。an✳︎ページ。▷注文方法◁①こちらのページのコメントからオーダー品受付②専用ページ作成③専用ページにてオーダー内容の確認④注文&お支払い⑤商品の製作⑥発送*お名前入れはオーダー通りに致します為字体や大文字小文字も確認の上ご記入下さい。58.さくら*さやたぐ。*ハンドメイド作品ですので焼きむらズレなどご理解頂ける方のみご注文よろしくお願い致します。59.トリコロールチェック*さやたぐ。名入れ 名前入れ ウエディング 席札 卒園 卒団 卒業 入学 記念品 母の日 父の日 敬老の日 クリスマス ギフト 名前入り食器
  • 確認専用 欄間 確認専用 確認専用 欄間 パーツ 確認用 ホンダ 純正部品
  • 2xの2乗-7x+4=0この2次方程式の解き方を教えてください
  • MSFJC20A37 ステッピングモーター 14 5V 380Ω Sankyo (日本電産
  • MSFJC20A37 ステッピングモーター 14 5V 380Ω Sankyo (日本電産

同じカテゴリの 商品を探す

ベストセラーランキングです

このカテゴリをもっと見る

この商品を見た人はこんな商品も見ています

近くの売り場の商品

このカテゴリをもっと見る

カスタマーレビュー

オススメ度  4.8点

現在、4568件のレビューが投稿されています。